Introducing marimo pair
A canvas where agents and developers collaborate on research and data work; structured working memory and a reactive Python runtime for agents.
🏆 We're running a notebook competition with alphaXiv. Pick a paper, build a notebook, & win prizes 👀
A canvas where agents and developers collaborate on research and data work; structured working memory and a reactive Python runtime for agents.
Reactive Matplotlib selections, matrix inputs, rich PyTorch display, and more
A refreshed UI, a new Developer Panel, pytest fixtures, and more
Bringing a native marimo experience to your favorite IDE
A deep dive into adding MCP support for marimo
Introducing "marimo check", a linter that enables agents and humans alike to write high-quality notebooks, pipelines, and apps with marimo
Why agentic coding tools like Claude Code work exceptionally well with marimo

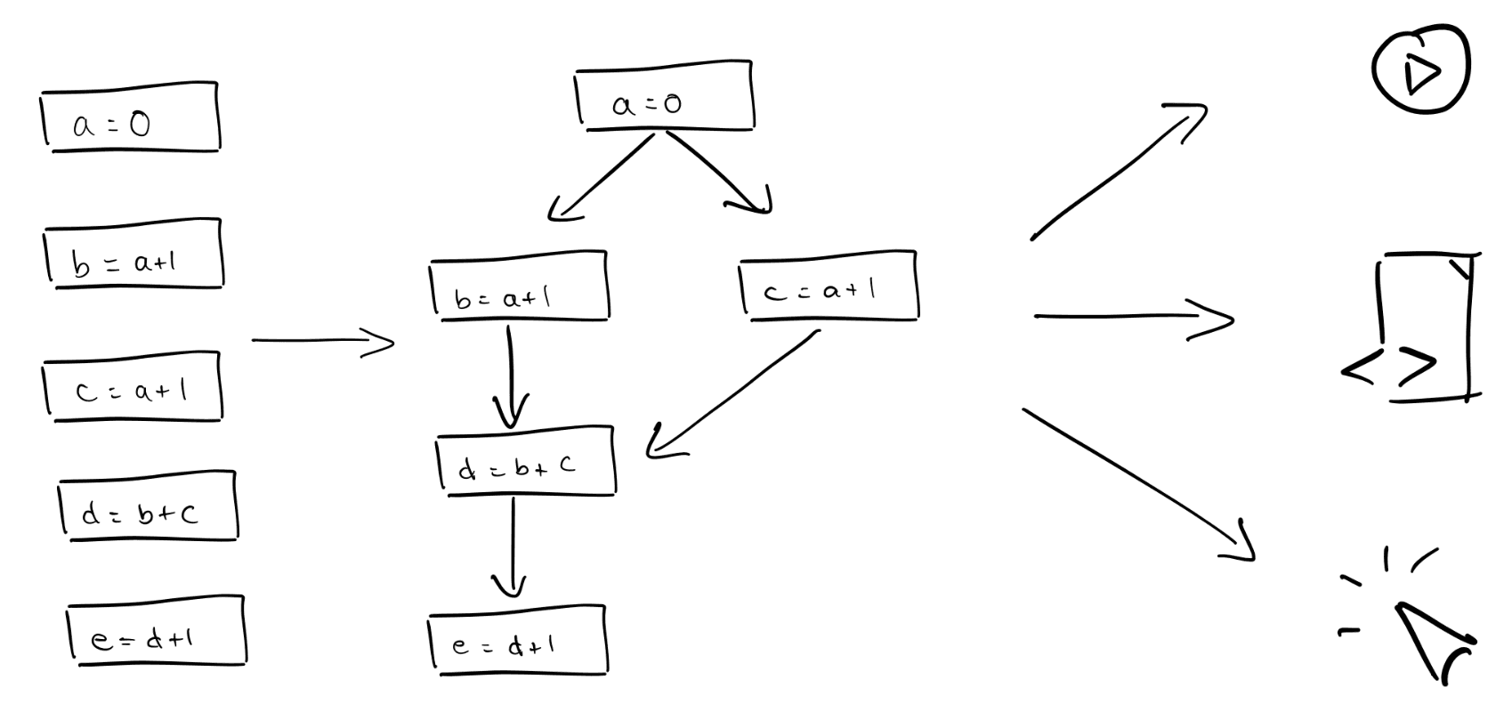
How and why marimo represents notebooks as dataflow graphs
Cloud-based notebooks for our community
Designing a Python notebook that blends the best parts of interactive computing with the sanity of code
A step-by-step guide to publishing marimo notebooks using GitHub Pages for free.
Our vision for building a unified toolchain for working with data
Transforms your repository of notebooks into a collection of interactive data apps
Custom LLMs, multi-modal inputs, Generative UI, and more
Bringing reactivity to your data visualizations
New AI integrations, a chatbot component, and smart caching

How marimo enables sandboxed notebooks, reproducible down to the package environment
Standardizing the plugin API for marimo
Designing a notebook that can be shared as an app, run as a script, versioned with git, and more
Bringing a whole new meaning to "serverless".
A guide on how to deploy marimo applications with Docker
An open-source reactive notebook for Python